Evolutionary Analysis of the "Trans Agenda" as Mass Sterilization of Youth as Reproductive Spite
Anything an individual does that increases their relative contribution of the survival of their alleles into the next generation enhances their relative fitness. Mass murder, mass sterilization.
Preamble: Some lesbian, gay, and bi individuals have called for a separation between LGB individuals and those who present themselves as Trans, Queer, or “Plus”. I have no idea what “Plus” is, I admit. Here’s a Google search on the issue of the proposed split.
Please understand that this article was written to create awareness about the new reality involving the interplay between social dynamics and the way people control and influence others’ reproductive heritage. I have not seen this issue addressed by anyone because discussions about evolutionary principles and social dynamics are taboo because evil people in the past twisted Darwin’s understanding of evolution toward their own advantage in ways that led to mass forced sterilization. I am issuing this article as a warning of the hidden dangers of de facto state-sponsored sterilization programs being implemented by certain states within the United States embedded in the Trans Agenda.
If that’s too difficult a topic for you, here are some cute kittens to look at instead.
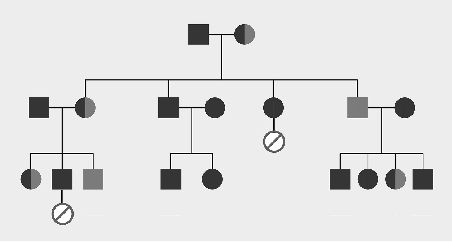
Mathematical models in population genetics can be used to measure the impact of any feature of an individual on the relative contribution of their alleles to the next generation. Most often, we think of evolutionary fitness in terms of the joint effects of an individual’s survival and reproduction stemming from heritable genetic variation. Nature is filled with examples of reproductive spite, sterilization, or restriction of reproduction of some individuals by unrelated individuals.
Reproductive spite refers to the phenomenon where an individual's reproductive behavior negatively affects the survival or reproductive output of other individuals. Reproductive spite can potentially lead to increased fitness for the individual causing harm. In the wild, for example, male chimpanzees and lions occasionally kill cubs sired by rival males after taking over a troupe, or pride. This act eliminates the offspring of their competitors, allowing them to father their own genetic offspring and increase their own reproductive success.
Some female spiders may consume their own offspring. This is known as “filial cannibalism”, is seen in many species of fish that brood their live young, and is a form of reproductive spite. This behavior can be driven by a lack of resources or as a strategy to gain additional nutrients for the female, thereby increasing her chances of surviving and reproducing again, thus maximizing the mother’s, but not necessarily the eaten young’s, lifetime reproductive success (Fitzgerald, Trends in Ecology & Evolution).
In some insects, males deposit substances in the female reproductive tract that harm or kill the spermatozoa of previous mates. This approach to sperm competition helps ensure that their own spermatozoa have a higher chance of fertilizing the eggs and increases their reproductive success. While spermatozoa are not live, this feature of competition via spite is thought to be the explanation for the shape of the human penis (Evolution & Human Behavior).
Examples also exist in the plant world. Certain plants release toxic chemicals into the soil to inhibit the germination of seeds from neighboring plants. This is known as “allelopathy”. The allelopathic plant can increase its reproductive success by reducing competition for resources like sunlight, water, and nutrients.
Another example is the overgrowth of vines: Some climbing plants, like kudzu, grow rapidly and cover other vegetation, depriving them of sunlight and nutrients. This aggressive growth strategy allows the vines to outcompete other plants and enhance their own reproductive output.
While these examples demonstrate reproductive behaviors that can harm others, they are not necessarily driven by spiteful intentions as seen in human behavior. These actions have evolved as strategies to maximize an individual's own fitness in a competitive environment.
In the current Trans Agenda, in which gender modification surgeries are advocated for minors as “affirming care”, a dark link exists: gender modification surgery often leads to sterilization of those individuals as a side effect.
It is a mathematical fact that those who support the widespread sterilization of individuals to whom one is not related enjoy a boost in one’s own total reproductive by reducing the direct fitness of others. This can be true even when the individual supporting the program does not have their own offspring. This is possible via inclusive fitness - the measure of the total sum of one’s alleles in the next generation via the successful survival and reproduction of all of the 1st, 2nd, and even 3rd-degree relatives.
According to John Maynard Smith, the evolutionary biologist JBS Haldane once told colleagues, in jest, that “he was prepared to lay down his life for eight cousins or two brothers”. This was because he understood that two brothers or eight cousins would carry essentially the same number of alleles forward as he carried, assuming they all reproduced at the same rate that Haldane would have if he did not sacrifice himself.
The idea was better formalized as “inclusive fitness” by British evolutionary biologist William Donald Hamilton. Hamilton’s primary area of interest was the origin of altruism, and he used inclusive fitness to explain the direct (reproductive) and indirect (aided by a relative or a colony member) inheritance of genetic traits associated with altruism.
The basic idea is the same: anything one does to help those related to themselves survive and reproduce will increase their indirect fitness, and thus increase their total fitness, which is
Total fitness = Direct fitness + Indirect fitness
where direct fitness is the survival of one’s alleles in their offspring and indirect fitness is the survival of one’s alleles in others’ offspring by relatedness.
The invocation of evolutionary theory to explain new emergent practices among humans is considered too controversial for academic considerations to the point of taboo. This is because no one would want to spread the evil ideas of racial superiority and genocide. However, sterilization programs are not at all new to human societies.
Before modern times, there were limited recorded instances of deliberate mass sterilization or restricted reproduction in history. However, there were some practices and events that could be seen as precursors to or examples of reproductive control.
Some examples include:
Castration of slaves. In certain societies and historical periods, castration was used to control the reproductive potential of enslaved individuals, particularly male slaves. This practice aimed to prevent the enslaved population from producing offspring and thus reduce the possibility of resistance or rebellion through procreation.
Eunuchs in imperial courts. In ancient civilizations such as Byzantium, China, and the Ottoman Empire, eunuchs—castrated males—were often employed in imperial courts. By removing their reproductive abilities, eunuchs were seen as a trustworthy group of individuals who posed no threat to the ruler's bloodline. They were often responsible for administrative tasks and guarding harems.
Female chastity belts. Although the historical accuracy of chastity belts is disputed, there are some accounts of their usage. It is believed that these devices were designed to restrict sexual activity and prevent women from engaging in extramarital or premarital relations, to ensure fidelity and controlling reproduction.
Marriage restrictions and arranged marriages. Throughout history, societies have employed various means to control and regulate reproduction. This includes enforcing marriage restrictions based on factors such as social class, ethnicity, or religion. Arranged marriages, where parents or authorities choose partners for individuals, were common and served as a way to influence and limit reproductive choices.
While these examples do not necessarily represent mass sterilization or deliberate efforts to restrict reproduction on a large scale, as we understand them today, they certainly influenced the reproductive output of others, and thus increased (mathematically) the relative fitness of those imposing the restrictions. None of the boys who rose to fame in Italian churches as Castrati have descendants to celebrate their grandfathers’ talents. NONE of them had offspring: they ALL were wholly unable to contribute any of their alleles to the gene pool.
The concept of intentional and widespread reproductive control emerged more prominently in the 20th century with the development of eugenics and other ideological movements.
According to the University of California, Berkley:
“California's ‘Asexualization Acts’ in the 1910s and 1920s led to the sterilization of 20,000 disproportionately Black and Mexican people who were deemed to be mentally ill. Hitler and the Nazis were reportedly inspired by California's laws when formulating their genocidal eugenics policies in the 1930s.” (America’s Forgotten History of Forced Sterilization).
Related View: Medical Racism: The New Apartheid (Children's Health Defense)
The strongly negative reaction of parents to news that some state governments - and some in powerful positions in the US Federal Government - want to allow minors to choose gender reassignment surgery - even over the objections of their parents - is understandable from a rational, scientific point of view.
Federal judges are leaning toward allowing the state to enforce a child’s request for “gender-affirming care” (meaning puberty-blocking hormones and even surgery) over the objections of the minors’ parents (see Google search). The fact that it’s a boon for allopathic medicine colors the issue for many parents. According to CNN in 2015, The Philadelphia Center for Transgender Surgery (Wayback Machine) was charging $140,450 to transition from male to female, and $124,400 to transition from female to male.
For many, the relationship between complete transitioning and sterilization for many does not register. The social pressure to support individuality, as the messaging goes, buries the fact that each terminated familial lineage impacts more than just the individual. And should individuals seek technology-assisted reproduction, that adds to the cost. In vitro fertilization, as a procedure can cost up to $30,000 - and this does not include the cost of hiring a surrogate mother, which can cost up to $60,000.
Will the state, so willing to allow a minor to end their reproductive potential also pick up the cost of $100,000 per child just for conception to birth for the minors they transition, and, in the process, effectively sterilize, should the minor change their mind about wanting to become a mother or a father? These costs of regrets cannot be fully considered by minors who, at the same ages of 12-13, experience trends like consuming Tide pods and “choke out” each other as a form of amusement.
The fact is that no minor can provide fully informed consent for such life-altering treatments, and the laws protecting them from the abuses of experimentation, such as 45 CFR 46 and related that require that doctors procure informed permission from parents should not be steamrolled by a social trend.
As a final point, the fact that a disproportionate number of people who seek gender modification treatments also have a diagnosis of autism should not be missed as it leads to difficult questions. For example, are young teens with autism more susceptible to societal nudging or even outright propaganda toward equity and inclusion that they are more likely to embrace a different identity, one they hope through which they might find greater social acceptance, all the while falling into a covert mass sterilization program?
I hope not, but I don’t have the answer. Yet. And I am not saying I have evidence the connections are intentional, but I am saying: Screw the Taboo. We owe it to our children and our collective future to ask these questions and to use Science to find the answers.
There are other areas in which social pressure is used to try to coerce or force parents to put their children in harm’s way for the potential benefit of other children. Social psychologists who are deeply schooled in evolutionary principles should look into the potential role that the vestiges of reproductive spite may play in promoting tolerance of, or even the promotion of increased risk for harm to other peoples’ children in the area of vaccine mandates.
We owe it to all our children, to ourselves, and to our collective future, to have deep discussions to understand in full potential darker sides of rainbows.






The elite list of this fallen world are bored with their luxurious lifestyles and want something different....they working alongside the media, including the mainstream news and pedophile/satanic Hollywood are sterilizing children and convincing them and lost parents that they can choose their gender when that is an outright lie. God made only 2 genders man and woman. The satanic left made the rest.
They are sexualizing children so the elite can call it love when it is lust of their flesh that is never quenched...and they get more sick and twisted as they go deeper and deeper into the satanic realm until their minds are sealed with a hot iron (a reprobate mind) and they can no longer be brought back to normalcy. All flesh is born into sin and that is what everyone is missing. Even churches nowadays don’t talk about the sun nature we are all born into.
So they accept these deviant lifestyles slowly.
If you look up the word “sodomy” in etymology you will find the origins go back to the most sinful city that ever existed....the city of Sodom in the Bible.
God said if there were even 10 righteous people living there he would NOT destroy it....but there weren’t.
The whole town including adult men and children surrounded Lot’s house and demanded to have sex with the 2 angels that came to get Lot and his family out of town before God destroyed it!!!!
The city of Sodom accepted pedophilia and beastiality....and all of the town except Lot and his family accepted it as normal.
There is a spirit of Anti/Christ pushing an agenda working through the lost slowly slowly slowly getting people to accept this un-natural evil ways.
Remember when bi-sexual Barack Obama (yes Michelle is a man) put the gay rainbow colors on the whitehouse accepting gay marriage?
Then they wanted children.....then they wanted to transgenderism, then they wanted teaching young children homosexual book readings in libraries, now they want to change the name “pedophile” to “minor attracted person” now they want children to decide if they are not a boy or a girl, when children don’t even know what sex is!!!!! Step by step by step and now beastiality is legal in Canada!!!
When will Americans wake up???
It’s happening NOW praise God!!!!
People are finally starting to see the satanic anti-Christ agenda and saying NO!!!
Not the children!!!!
For an adult to do these things is one thing but to push this on children???? Is just plain sick, twisted and evil!!!!
God is exposing the filth!!! And soon Disney will go down forever!!! An earthquake is coming and will expose them for what they have been hiding for years!!! Praise God!!!
In Jesus Holy Name I pray!!
Amen!!
All these idiot wokesters studying 18th C Belgian Lesbian Musicology at Podunk U and taking 6 yr and 100k to graduate are just that: idiots